2024 年 4 月 26 日,304永利集团有限公司贺荣强教授、卢仲毅教授团队在 Physical Review B 上发表题为 “Correlation effects and concomitant two-orbitals±-wave superconductivity inLa3Ni2O7under high pressure” 的研究。该工作基于团队自主发展的自然轨道重正化群(Natural Orbitals Renormalization Group, NORG)方法,结合动力学平均场理论(DMFT),深入研究了近期备受关注的高温超导体La3Ni2O7在高压下的电子关联效应,揭示了其独特的双轨道共生s±波超导配对机制以及洪特耦合在其中起的关键作用。

核心发现:
·双轨道共生s±波超导:研究发现,La3Ni2O7中费米面附近的两个eg轨道(dx2-y2和dz2)均形成了s±波超导配对。尽管这两个轨道在晶格对称性上相互正交,但由于轨道间跃迁的存在,它们表现出强烈的“共生”特性:即同时进入超导态或同时发生莫特(Mott)绝缘体相变,不存在单一轨道的选择性超导或绝缘态。
·洪特耦合的关键“桥梁”作用:理论计算表明,局域轨道间自旋耦合(LIOSC,源自洪特耦合)在增强电子关联和促进超导方面起着决定性作用。dx2-y2轨道虽然缺乏直接的层间反铁磁关联,但通过洪特耦合“共享”了dz2轨道的层间反铁磁关联,从而实现了稳健的超导配对。
·轨道间跃迁导致的强纠缠:既然两个轨道性质差异巨大,为何会“同进同退”?研究揭示,较强的轨道间电子跃迁(txz)是这一现象的物理根源。这种跃迁效应使得两个轨道在量子力学上紧密纠缠,从而抑制了轨道选择性莫特相变(OSMT)的发生,强制系统表现为共生的金属-绝缘体转变或超导转变。
近年来,双层镍氧化物La3Ni2O7被发现加压下具有约80 K的高温超导电性,开启了高温超导研究的“镍时代”。与铜氧化物高温超导体类似,La3Ni2O7具有层状结构和强关联电子特性;但其独特的双层NiO6八面体结构和多轨道物理使得其超导机理更为复杂。如何在理论上处理这种多轨道强关联体系,成为解开其超导之谜的关键挑战。
核心利器:NORG方法
针对上述背景中的挑战,本研究采用了采用了贺荣强教授和卢仲毅教授团队自主发展的NORG方法作为DMFT的杂质求解器。相比传统方法,该方法在处理La3Ni2O7这类复杂体系时展现了核心优势:
·高精度与高效率: NORG方法通过在自然轨道表象下求解基态,能够有效克服指数墙困难,极高精度地求解多轨道安德森杂质模型。
·无负符号问题: 作为一种基于波函数的求解方法,NORG从根本上避免了量子蒙特卡洛(QMC)方法在处理多轨道、强关联及阻挫体系时面临的严重“负符号问题”,这使得该方法在处理La₃Ni₂O₇这类复杂体系时具有不可替代的优势。
·不依赖杂质模型的拓扑结构: NORG方法在求解杂质模型时不依赖于特定的几何拓扑结构。相比于对模型结构通常有特定要求(如需要特定映射)的传统重正化群算法(如NRG或DMRG),NORG能够直接、自然地处理具有任意复杂杂化形式的安德森杂质模型,从而高效解析多轨道体系中的强关联效应。
图文导读:

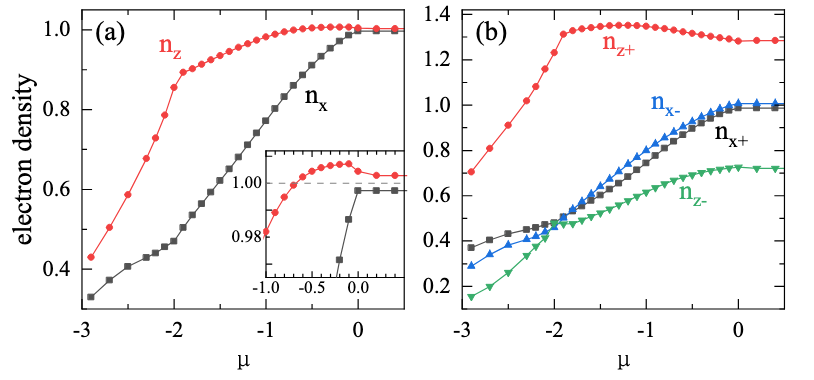
电子密度随化学势的演化直观展示了两个轨道的强纠缠特性。随着填充数趋近半满,两个轨道同步发生莫特绝缘体转变,证实了核心发现中提到的“共生”行为。

NORG计算直接给出了超导配对的对称性证据。结果表明,在整个超导区域内,层间配对占据主导地位。更为关键的是,成键态与反键态的超导序参量符号相反,这明确了s±波配对对称性。

研究对比了调节局域轨道间自旋耦合(ΔU′)后的结果。计算显示,局域轨道间自旋耦合的抑制会导致超导序参量被显著抑制。这印证了体系中洪特耦合及轨道间相互作用对于维持高温超导态及电子关联性至关重要。

为了验证“轨道间跃迁”是导致共生行为的物理根源,研究团队人为抑制了跃迁参数(txz=0,虚线所示)。结果显示,一旦切断这一“纽带”,系统立即进入轨道选择性莫特(超导)相——即一个轨道超导而另一个绝缘。
科学意义与展望:
本研究揭示了La3Ni2O7中独特的双轨道共生s±波超导现象,其根源在于两个在对称性上正交的eg轨道通过轨道间跃迁发生了杂化。具体而言,dz2轨道提供了关键的层间反铁磁关联,而dx2-y2轨道通过局域轨道间自旋耦合“共享”了这一关联,从而共同实现了稳健的超导配对。进一步的机制验证表明,LIOSC与轨道间跃迁是增强电子关联、抑制轨道选择性莫特相并维持这种伴生超导态的决定性因素。上述对La3Ni2O7复杂微观机制的精确分析,得益于团队自主研发的NORG方法,该方法成功克服了传统计算中的负符号问题,为理解多轨道强关联体系的超导机理提供了坚实的理论支撑。
相关文献列表:
Yi-Heng Tian, Yin Chen, Jia-Ming Wang, Rong-Qiang He, and Zhong-Yi Lu, Correlation effects and concomitant two-orbitals±-wave superconductivity inLa3Ni2O7under high pressure, Phys. Rev. B 109, 165154 (2024).
https://doi.org/10.1103/PhysRevB.109.165154